新闻  |   论坛  |   博客  |   在线研讨会
最全的损失函数汇总
数据派THU | 2022-07-23 17:27:07    阅读:528   发布文章

19种损失函数

1. L1范数损失 L1Loss


计算 output 和 target 之差的绝对值。


torch.nn.L1Loss(reduction='mean')

参数:

reduction-三个值,none: 不使用约简;mean:返回loss和的平均值;sum:返回loss的和。默认:mean。


2 均方误差损失 MSELoss
计算 output 和 target 之差的均方差。


torch.nn.MSELoss(reduction='mean')

参数:

reduction-三个值,none: 不使用约简;mean:返回loss和的平均值;sum:返回loss的和。默认:mean。


3 交叉熵损失 CrossEntropyLoss
当训练有 C 个类别的分类问题时很有效. 可选参数 weight 必须是一个1维 Tensor, 权重将被分配给各个类别. 对于不平衡的训练集非常有效。
在多分类任务中,经常采用 softmax 激活函数+交叉熵损失函数,因为交叉熵描述了两个概率分布的差异,然而神经网络输出的是向量,并不是概率分布的形式。所以需要 softmax激活函数将一个向量进行“归一化”成概率分布的形式,再采用交叉熵损失函数计算 loss。

图片


torch.nn.CrossEntropyLoss(weight=None,ignore_index=-100, reduction='mean')

参数:

weight (Tensor, optional) – 自定义的每个类别的权重. 必须是一个长度为 C 的 Tensorignore_index (int, optional) – 设置一个目标值, 该目标值会被忽略, 从而不会影响到 输入的梯度。reduction-三个值,none: 不使用约简;mean:返回loss和的平均值;sum:返回loss的和。默认:mean。


4 KL 散度损失 KLDivLoss
计算 input 和 target 之间的 KL 散度。KL 散度可用于衡量不同的连续分布之间的距离, 在连续的输出分布的空间上(离散采样)上进行直接回归时 很有效.


torch.nn.KLDivLoss(reduction='mean')

参数:

reduction-三个值,none: 不使用约简;mean:返回loss和的平均值;sum:返回loss的和。默认:mean。


5 二进制交叉熵损失 BCELoss
二分类任务时的交叉熵计算函数。用于测量重构的误差, 例如自动编码机. 注意目标的值 t[i] 的范围为0到1之间.


torch.nn.BCELoss(weight=None, reduction='mean')

参数:

weight (Tensor, optional) – 自定义的每个 batch 元素的 loss 的权重. 必须是一个长度为 “nbatch” 的 的 Tensor


6 BCEWithLogitsLoss
BCEWithLogitsLoss损失函数把 Sigmoid 层集成到了 BCELoss 类中. 该版比用一个简单的 Sigmoid 层和 BCELoss 在数值上更稳定, 因为把这两个操作合并为一个层之后, 可以利用 log-sum-exp 的 技巧来实现数值稳定.


torch.nn.BCEWithLogitsLoss(weight=None, reduction='mean', pos_weight=None)

参数:

weight (Tensor, optional) – 自定义的每个 batch 元素的 loss 的权重. 必须是一个长度 为 “nbatch” 的 Tensor


7 MarginRankingLoss



torch.nn.MarginRankingLoss(margin=0.0, reduction='mean')


对于 mini-batch(小批量) 中每个实例的损失函数如下:
图片
参数:

margin:默认值0

8 HingeEmbeddingLoss



torch.nn.HingeEmbeddingLoss(margin=1.0,  reduction='mean')

对于 mini-batch(小批量) 中每个实例的损失函数如下:
图片

参数:

margin:默认值1


9 多标签分类损失 MultiLabelMarginLoss



torch.nn.MultiLabelMarginLoss(reduction='mean')

对于mini-batch(小批量) 中的每个样本按如下公式计算损失:
图片

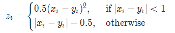
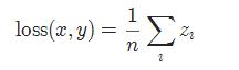
10 平滑版L1损失 SmoothL1Loss


也被称为 Huber 损失函数。


torch.nn.SmoothL1Loss(reduction='mean')
图片
其中图片

11 2分类的logistic损失 SoftMarginLoss



torch.nn.SoftMarginLoss(reduction='mean')
图片


12 多标签 one-versus-all 损失 MultiLabelSoftMarginLoss



torch.nn.MultiLabelSoftMarginLoss(weight=None, reduction='mean')
图片

13 cosine 损失 CosineEmbeddingLoss



torch.nn.CosineEmbeddingLoss(margin=0.0, reduction='mean')
图片

参数:

margin:默认值0


14 多类别分类的hinge损失 MultiMarginLoss



torch.nn.MultiMarginLoss(p=1, margin=1.0, weight=None,  reduction='mean'

图片

参数:

p=1或者2 默认值:1
margin:默认值1


15 三元组损失 TripletMarginLoss


和孪生网络相似,具体例子:给一个A,然后再给B、C,看看B、C谁和A更像。


图片


torch.nn.TripletMarginLoss(margin=1.0, p=2.0, eps=1e-06, swap=False, reduction='mean')
图片

其中:图片

16 连接时序分类损失 CTCLoss
CTC连接时序分类损失,可以对没有对齐的数据进行自动对齐,主要用在没有事先对齐的序列化数据训练上。比如语音识别、ocr识别等等。

torch.nn.CTCLoss(blank=0, reduction='mean')

参数:

reduction-三个值,none: 不使用约简;mean:返回loss和的平均值;sum:返回loss的和。默认:mean。


17 负对数似然损失 NLLLoss
负对数似然损失. 用于训练 C 个类别的分类问题。


torch.nn.NLLLoss(weight=None, ignore_index=-100,  reduction='mean')

参数:

weight (Tensor, optional) – 自定义的每个类别的权重. 必须是一个长度为 C 的 Tensorignore_index (int, optional) – 设置一个目标值, 该目标值会被忽略, 从而不会影响到 输入的梯度.


18 NLLLoss2d
对于图片输入的负对数似然损失. 它计算每个像素的负对数似然损失。


torch.nn.NLLLoss2d(weight=None, ignore_index=-100, reduction='mean')

参数:

weight (Tensor, optional) – 自定义的每个类别的权重. 必须是一个长度为 C 的 Tensorreduction-三个值,none: 不使用约简;mean:返回loss和的平均值;sum:返回loss的和。默认:mean。


19 PoissonNLLLoss
目标值为泊松分布的负对数似然损失。


torch.nn.PoissonNLLLoss(log_input=True, full=False,  eps=1e-08,  reduction='mean')

参数:

log_input (bool, optional) – 如果设置为 True , loss 将会按照公 式 exp(input) - target * input 来计算, 如果设置为 False , loss 将会按照 input - target * log(input+eps) 计算。

full (bool, optional) – 是否计算全部的 loss, i. e. 加上 Stirling 近似项 target * log(target) - target + 0.5 * log(2 * pi * target)。

eps (float, optional) – 默认值: 1e-8。

*博客内容为网友个人发布,仅代表博主个人观点,如有侵权请联系工作人员删除。

参与讨论
登录后参与讨论
推荐文章
最近访客