新闻  |   论坛  |   博客  |   在线研讨会
线性回归:不能忽视的三个问题
数据派THU | 2023-08-04 07:27:47    阅读:3085   发布文章

前言


线性回归是比较简单的机器学习算法,很多书籍介绍的第一种机器学习算法就是线性回归算法,笔者查阅的中文书籍都是给出线性回归的表达式,然后告诉你怎么求参数最优化,可能部分同学会忽视一些问题,至少笔者忽视了。因此,本文重点介绍了平常容易忽视的三类问题,(1)线性回归的理论依据是什么(2)过拟合意味着什么(3)模型优化的方向。


目录


1、线性回归的理论依据是什么

2、过拟合意味着什么

3、模型优化的方向

4、总结


线性回归的理论依据


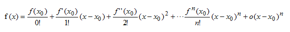
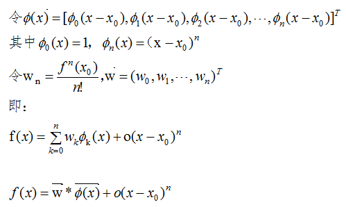
泰勒公式


若函数f(x)在包含x0的某个闭区间[a,b]上具有n阶导数,且在开区间(a,b)上具有(n+1)阶导数,则对闭区间[a,b]上任意一点x,成立下式:


图片

图片


结论:对于区间[a,b]上任意一点,函数值都可以用两个向量内积的表达式近似,其中

图片是基函数(basis function),图片是相应的系数。


高阶表达式图片表示两者值的误差(请回想您学过的线性回归表达式)。


傅里叶级数


图片

周期函数f(x)可以用向量内积近似,图片表示基函数,图片表示相应的系数,图片表示误差。


线性回归


由泰勒公式和傅里叶级数可知,当基函数的数量足够多时,向量内积无限接近于函数值。线性回归的向量内积表达式如下:


图片

过拟合问题


过拟合定义


构建模型的训练误差很小或为0,测试误差很大,这一现象称为过拟合。


高斯噪声数据模型


我们采集的样本数据其实包含了噪声,假设该噪声的高斯噪声模型,均值为0,方差为图片

若样本数据的标记为y1,理论标记为y,噪声为η,则有:


y1 = y + η,(其中,η是高斯分布的抽样)


上节的线性回归表达式的方差图片表示的意义是噪声高斯分布的随机抽样,书本的线性回归表达式把方差图片也包含进去了。


过拟合原因


数学术语:当基函数的个数足够大时,线性回归表达式的方程恒相等。


如下图:


图片


机器学习术语:模型太过复杂以致于把无关紧要的噪声也学进去了。


当线性回归的系数向量间差异比较大时,则大概率设计的模型处于过拟合了。用数学角度去考虑,若某个系数很大,对于相差很近的x值,结果会有较大的差异,这是较明显的过拟合现象。


过拟合的解决办法是降低复杂度,后期会有相应的公众号文章,请继续关注。


模型的优化方向


模型的不同主要是体现在参数个数,参数大小以及正则化参数λ,优化模型的方法是调节上面三个参数(但不仅限于此,如核函数),目的是找到最优模型。


总结


本文通过泰勒公式和傅里叶级数的例子说明线性回归的合理性,线性回归表达式包含了方差项,该方差是高斯噪声模型的随机采样,若训练数据在线性回归的表达式恒相等,那么就要考虑过拟合问题了,回归系数间差异比较大也是判断过拟合的一种方式。模型优化的方法有很多种,比较常见的方法是调节参数个数,参数大小以及正则化参数λ。


参考:Christopher M.Bishop <<Pattern Reconition and Machine Learning>>



*博客内容为网友个人发布,仅代表博主个人观点,如有侵权请联系工作人员删除。

参与讨论
登录后参与讨论
推荐文章
最近访客