新闻  |   论坛  |   博客  |   在线研讨会
论文与新视频来了,东南大学对「室温超导」LK-99奇特电阻行为的解释
机器之心 | 2023-08-15 21:40:40    阅读:344   发布文章

其实只是铜在导电?


最近,各国科学家有关韩国「室温超导」材料 LK-99 的研究陆续出炉,持悲观态度的人越来越多。


不过人们同时也认为,虽然可能不是超导,但 LK-99 所展现的特殊性质可能会推进凝聚态物理领域向前进步。人们对 LK-99 的认知仍远算不上清晰,对其本质的猜测包括半导体、磁性材料、高导电无机聚合物等等不一而足。


8 月 14 日,东南大学侯强、魏玮、周鑫、王欣悦、孙悦、施智祥等人的论文《Current percolation model for the special resistivity behavior observed in Cu-doped Apatite》提交到了预印版论文平台 arXiv 上,这份最新研究对于 LK-99 的特性进行了一些解释。


图片


视频地址:https://www.bilibili.com/video/BV19u4y1i7nu/


东南大学教授孙悦今天早上在 B 站上传了视频第一时间进行了解读。有趣的是,他表示论文其实在上周四晚就已提交到 arXiv 平台了,视频也在那时已准备好,但可能因为话题过于敏感,论文直到周一才正式上线。

东南大学的团队围绕 LK-99 建立起了一种模型,来解释它的奇特电阻行为。


图片


论文链接:https://arxiv.org/abs/2308.05778


此前,在 8 月 2 日,孙悦所在的团队表示在 110K 以下且常压的情况下观察到了 LK-99 的零电阻。但当时其表示这并不是室温超导的证据,还有待进一步的探索和测量。


接下来,我们来看下孙老师这次的视频分析。


首先是图 1,是对 Pb10-xCux (PO4) 6O 主相及铜和硫化二铜杂质样品的 X 射线衍射(XRD)分析,XRD 是研究晶体物质和某些非晶态物质微观结构的有效方法,也是科研人最常用的材料表征方法之一。


图片东南大学制成 LK-99 样品的 X 射线衍射图,主相 Pb10-xCux (PO4) 6O 以及杂质相 Cu 和 Cu2S。


同时,孙老师团队也在论文中直观标注了样品上可能是铜的区域。他们也对这些区域进行了仔细地分析。成分分析结果表示,下图中这样的红色区域的主要成分是铜或者铜、铅组成的岛。孙老师此后的模型也是基于这样的成分分析提出的假设。


图片图 2(a):样品照片;(b)样品的扫描电子显微镜(SEM)图像;(c)整个样品、(d)和(b)中红色圆圈区域的能量色散 X 射线光谱(EDS)。(e)铅、(f)铜和(g) 磷的能量色散 X 射线光谱图。


其实从样品照片(图 2 a)上我们就能直观地看到其中点缀着黄色的区域,很明显是铜。为了验证猜测,我们对材料进行仔细的 X 射线能谱(EDX)分析(图 2f),可见铜分布并不均匀。若对指定区域(图 2b 红圈)分析可知铜摩尔比例超过 90%,可认为此区域基本由铜、铅组成。


基于此分析结果,研究人员提出了假设。


以下是孙老师团队在 LK99 上观测到的四种特殊的电阻率行为(均在同一样品上观察到)。图 3a 是很多科研团队此前报告观察到的半导体行为,即随着温度降低,电阻不断上升,我们在大多数样品上观察到的都是这样的结果。


图片图 3:通过对同一样品的不同区域进行四次测量获得的电阻率与温度的关系。


其中图 3b 展示的正是孙老师在上一次视频中提到的在 110K(约 - 163℃)以下近似零电阻的结果,其研究早些时候提交在 arXiv 上(论文《Observation of zero resistance above 100∘ K in Pb10−xCux (PO4) 6O》)。


孙老师也承认,上次的研究将其称为零电阻不够严谨,更为准确的说法是近似零电阻(或低于仪器分辨率的极小电阻)。


还有另外一种电阻行为,图 3c 是 250K(约 - 23℃)的时候,电阻率抖降,但仍然不是零。此时可以观察到一个线性下降的电阻曲线,7.1K 时电阻急速下降,研究人员认为此处和金属铅的性质接近(铅的超导转变温度是 7.1K)。


基于这种观察,研究人员提出一种渗流模型。简单来说,我们可以认为在样品内部形成了很多铜和铅的「岛」,如图 3C。一般情况下岛是互相分离的,所以会随温度降低呈现半导体特性。


但是若铜和铅的区域非常密集,如图 3f 中(但室温下仍然是相互分离的),随着温度降低这些铜和铅的岛距离会逐渐接近,因此材料的电阻率会逐渐下降。这是因为电流通道上会有更多低电阻的铜和铅起到作用。当温度足够低时,铜和铅的区域互相联通,形成了电流通路,绝大多数电流通过这种方式通行。


此时可通过四引线法检测到电流很小,电压也非常小,我们还会观察到类似图 3b 中非常小的近似零电阻情况。


另外还有一种最为极端的情况(如图 3d)。在室温条件下某些区域的铜和铅连接成为通道,此时测量会显示铜铅通道的电阻。


以上就是东南大学团队对于 LK-99 特殊电阻率特性的解释。


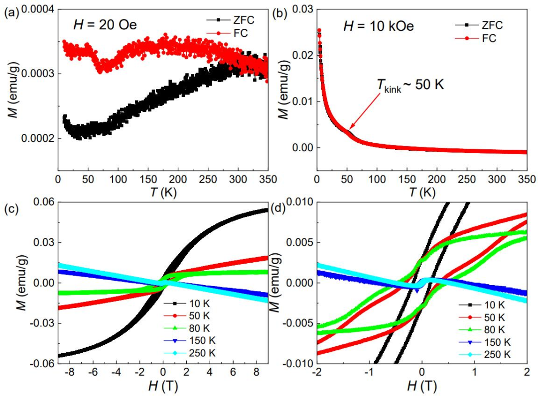
该团队也对磁化进行了详细测量,并没有发现任何迈斯纳效应的信号。因此我们可以认为,在 LK-99 上目前没有观测到超导现象 。


图片图 4:样品的磁化强度。


在视频的结尾,孙老师表示室温超导是他们这样的超导人的最终梦想和目标,他个人是愿意相信室温超导是存在的。


虽然,这波室温超导近乎已经被锤死。但正如孙老师所说,认为任何伟大的科学发现都不是一蹴而就的。相信通过一代一代研究人员的努力,我们终会实现室温超导。


*博客内容为网友个人发布,仅代表博主个人观点,如有侵权请联系工作人员删除。

参与讨论
登录后参与讨论
推荐文章
最近访客