"); //-->
电路保护的作用和意义
电路保护技术与电磁兼容性 |
雷电的形成和危害机理
静电的形成和危害机理
电力系统中的操作过电压
雷击浪涌防护测试与设计
静电放电测试与设计
电路保护技术及器件的发展情况 |
案例分析
内容
电路保护的作用及意义
20世纪80年代以来,电信事业,电力工业,交通运输业飞速发展,电 信网络,计算机网络,电力网络,汽车电子的建设与更新在如火如荼的展开,在技术上正在数字信息化,微电子化。然而数字信息化所依赖的集成电路的低电平工作特性,使得电力网络,信息网络也更容易在网络的系统部件,终端设备上被干扰和损坏,造成能量和信息的中断,堵塞,甚至系统瘫痪,产生不可估量的巨大损失。
所以,安全性,可靠性设计成为电气,电子设备及产品开发设计的重要内容,使其可以抵抗遇到的一些外界极端电磁环境,如雷电,静电等,以及电子产品自身产生的安全故障,如因用户操作不当,负载故障,元器件老化等原因形成的异常过电压,过电流。
电路保护技术与EMC
电磁兼容是指电气,电子设备在指定的电磁环境中,对外不产生过大的电子噪声,同时又能抵抗一定的外界电磁干扰的能力。
20世纪90年代,欧盟率先对进入其地区的电气电子产品强制EMC认证制 度,即CE认证,随后各国相继推出自己的标准,如美国FCC, 日本的VCCL,我国的3C等等。
而在电磁兼容性能中,电子产品抗外界雷击,静电放电等瞬态强干扰的能力是其重要的抗干扰能力指标。
如电磁兼容的国标都有明确的规定
GB/T 17626.2静电放电抗扰度
GB/T 17626.5浪涌冲击抗扰度。
GB/T 17626.4电快速瞬变脉冲群抗扰度
GB/T 17626.6射频干扰
GB/T 17626.8工磁场干扰
GB/T 17626.12阻尼震荡波
总而言之,电路保护设计与电磁兼容性能有着密切的关系, 良好的电路保护设计有助于产品电磁兼容性能的提高。
雷电的形成和危害机理

雷电的形成
雷电是人们夏季常见的一种危险而剧烈的自然现象,其形成与大气电场有密切的关系,雷雨云带电原因解释不少,如感应起电,温差起电,对流起电,破碎起电等等, 目前没有形成较为满意的一致认识。
雷电的放电过程
当云中负电荷区的电场强度积累到上百万伏/米时,含云的大气就会因气体分子的剧烈撞击而产生电离,这些电离的气体具有导电能力,进而形成自雷雨云边缘向大地延伸
的局部放电通道,并伴随气体发光现象。
雷电的形成和危害机理
雷电的工程模型
雷电的电压最高可达几兆至几百兆伏特,放电电流可达上百千安培。雷电的放电电流呈陡前沿,单极性脉冲的形状。
雷电的危害效应
直击雷:热效应,机械效应,电动力效应,高电压效应
感应雷: 架空线路的静电感应效应,雷电的磁场感应效应
静电的形成和危害机理
静电的形成
静电的形成有很多种方式,对于低压电气,电子设备来讲常见的形式有人体静电起电,元器件及机器设备的静电起电。
雷电的危害效应
静电的力学效应,静电的热效应,静电的强电场效应,静电放电的电磁脉冲效应
静电危害的特点:
隐蔽性,潜在性,随机性,复杂性
瞬变脉冲群的形成和要求
产生于感性负载的投切、继电器切点弹动的瞬间,这种干扰以共模或差模方式影响端口(电源、信号、控制端口),对操作系统产生严重的破坏性。
EFT/GB 三极标准:
u 供电端口和模拟量端口
共模抗干扰能力,峰值2KV ,波形重复频率为5KHZ差模抗干扰能力,峰值1KV ,波形重复频率为5KHZ
u I/O信号/数据和控制端口
共模抗干扰能力,峰值1KV ,波形重复频率为5KHZ差模抗干扰能力,峰值0.5KV ,波形重复频率为5KHZ
瞬变脉冲群干扰方式
传导性耦合
电容或电感耦合(图1&图2),解决方法,见后面。
电磁辐射 (处理:电磁屏蔽、拉开距离、减小环路、退藕)


瞬变脉冲群测试基本要求
根据我们对大量的数据统计:从长远稳定来看,产品的所有接口,共模EFT最小要达到峰值2KV 、 重复频率5KHZ 差模峰值1KV 、重复频率5KHZ


瞬变脉冲群改善方案

之一:电容耦合改善方法


从上分析来看,降低输入阻抗可以提高抗干扰能力,从分布参数来看,采用多层板或铺设大面积地网对于电容耦合干扰衰减较大。能做到电场屏蔽效果好。
瞬变脉冲群改善方案
之二:电感耦合改善方法 

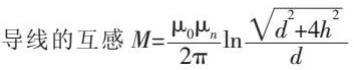
h代表两导线距地平面的高度
μ,和μ,分别表示空气和介质的磁导率d表示两平行导线的间距
从上分析来看,铺设大面积地和多层电路板可以增加插入衰减。减小介质磁导率也可以减小互感w。
雷击浪涌测试与设计
根据GB/T17626.5,雷击浪涌模拟器的电路原理,及使用的仪器。



雷击浪涌测试与设计
对于电源线及短距离信号互连线的端口使用1.2/50µs波形,对于连接到对称通信线的端口,应使用10/700µs组合波发生器。


8/20 µs组合波
1.2/50µs

10/700µs 5/320 µs组合波
雷击浪涌测试与设计
感应雷及浪涌电流的抑制原理
1.提高设备的绝缘耐压水平
2.利用瞬态干扰吸收电路
3.屏蔽敏感电路
4. 电气隔离
雷击浪涌测试与设计
抑制器件的使用方法
纵向横向并联设计(共差模)
差模电流 :信号线-回流线电流 ,大小相等、方向相反;
差模电压:信号线-回流线间电压;
共模电流 :线-大地间电流 ,方向相同;
共模电压:线-大地间电压
有用的信号都是差模的 ,骚扰可能是差模的 ,也可能是共模的。
电子 设备 |



过电压







雷击浪涌测试与设计
抑制器件的使用方法


多级防护,逐级递减
|
|
|
Surge voltage
Safe voltage


第一级保护,大通流被保护设备
第二级保护,精确箝位器件
雷击浪涌测试与设计
抑制器件的使用方法
寄生参数最小设计
并联的瞬态过电压抑制器在接入线路时,连线和接头要尽可能短。下面两种接法不同。








被保护设备
被保护设备
静电放电测试与设计
根据GB/T17626.2,静电放电测试的电路和测试仪


静电放电测试与设计
静电发生器的电流输出典型波形
静电仅施加于操作人员正常使用设备时可能接触的点和面上
。

静电放电测试与设计
电子设备静电放电保护原理
1. 控制静电起电,消除和减少静电;
2. 消除和中和静电
3. 选用抗静电元器件及抗干扰的软件流程;
4. 进行系统的ESD保护改善设计
静电放电测试与设计
电子设备静电放电保护设计
机壳的抗静电设计:
金属机壳,完整的良导体密封机壳可以阻止传导电流流入,也可以防止静电辐射到内部,起到防止静电放电的作用。设计时,一是尽可能保持机壳导电的连续性 , 二是对一些工作频率比较低的敏感电路采用单点接地的方式,接地线尽量短而粗,敏感电路远离机壳孔。
塑料机壳,优点是不会产生接触放电的现象,因为缝隙部分有可能会流入放电火花,可以使用减小缝隙宽度,延长缝隙深度,施加薄膜阻隔层的设计
复合材料,综合金属盒塑料的优点,一般采用金属镀绝缘层的做法。
静电放电测试与设计
电子设备静电放电保护设计
静电放电抑制电路的设计:
对于电气,电子设备来讲,电源线,信号线的输入输出端口施加防静电保护电路是非常重要的设计,由于静电放电上升时间很短,因此要求抑制器件的快速反应能力很高,一般建议小于0.2ns,常见的器件有压敏电阻,TVS,TSS等等
静电放电测试与设计
电子设备静电放电保护设计
PCB的抗静电设计:
优先选择有内嵌ESD保护电路的集成电路优先选择SMD器件;
多用上拉下拉电阻,可降低ESD对高输入阻抗电子电路的冲击。
保护器件的连线尽可能短,交叉方式。
集成电路不用的输入端不允许处于悬浮状态
布线方面,主要考虑减小印刷电路板的阻抗,缩小敏感信号的环路面积,加强屏蔽,增加静电保护环设计,包围整个功能电路,在插头处与子板的接地线连接。
电路保护技术及器件的发展情况
电路保护的历史由来已久,美国著名科学家富兰克林1752年发明的避雷针就可以看做是最早的电路保护措施,爱迪生1882年为保护纽约珍珠街全球第一所商业电站设备和系统的可靠运行发明了插塞式熔丝,可以视为最常用的电路保护器件。 19世纪末出现了放电保护间隙器,20世纪50年代出现碳化硅避雷器,70年代末出现氧化锌避雷器,到目前多种多样的电路保护器件,压敏电阻,瞬态抑制二极管 , 气体放电管,半导体放电管,PPTC等等。

电路保护器件


A.提供高品质的保护器件 B.免费提供可靠的设计方案
C.为用户提供方案评测、探讨 D.免费提供的验证服务




过压保护系列
过流保护系列
PPTC fuse NTC


GDT SPG TSS
TVS ESD MOV








电路保护器件介绍
GDT/SPG
气体放电管是一种陶瓷或玻璃封装的、内充低压惰性气体的短路型保护器件,一般分两电极和三电极两种结构。其基本的工作原理是气体放电。当极间的电场强度超过气体的击穿强度时,就引起间隙放电,从而限制了极间的电压,使与气体放电管并联的其它器件得到保护。可分为二极和三极两种。



电路保护器件介绍
GDT/SPG
陶瓷气体放电管具有通流量大(KA级),漏电流小,寄生电容小等优点,缺点是其响应速度慢 (μs级),动作电压精度低,有续流现象。适用于粗保护或者初级保护。
玻璃放电管有陶瓷放电管的优点,同时响应速度较快( ns级),但其通流量比陶瓷的小,且直流击穿电压分散性较大。
选型方法: min(UDC)≥1.25*1.15Up 1.25是安全余量,1.15是电源波动系数。


特性曲线 相关应用
电路保护器件介绍
MOV
压敏电阻的意思是“在一定的电流电压范围内电阻值随电压而改变,或者说电阻值对电压敏感 ”的电阻器。它的特性与两只背对背连接的硅稳压二极管非常相似 , 有着毫微秒级的响应速度。它对瞬变干扰的抑制是通过箝位方式来实现的,对线路有危害的这部分能量将被压敏电阻通过转化成热量的形式来吸收掉。
7D, 10D, 14D …34S等是常用的插件类压敏电阻,0805, 1206封装的是常用的贴片类压敏电阻。


电路保护器件介绍
MOV
压敏电压优点是价格便宜,通流量大,响应速度快,缺点是寄生电容大,不适合用在高频电路中。压敏电阻器广泛应用于家用电器及其它电子产品中,起过电压保护、防雷、抑制浪涌电流、吸收尖峰脉冲、限幅、高压灭弧、消噪、保护半导体元器件等作用。
压敏电压的选择:交流电路其最小值一般选择被保护设备电压2-3倍,直流电路选取为工作电压的1.8-2倍。
由于压敏制作时可能存在微小缺陷,或者当承受不同电流冲击,造成管芯的压敏电阻体分布不均,一些部位电阻会降低,导致漏电流增加,最终导致薄弱点微融化,最终导致老化。所以一般串接热熔点来避免。
压敏可串并联使用。
电路保护器件介绍
TVS
瞬变电压抑制二极管是在稳压管工艺基础上发展起来的一种新产品,当TVS管两端经受瞬间的高能量冲击时,它能以极高的速度(最高达1*10-12秒)使其阻抗骤然降低,同时吸收一个大电流,将其两端间的电压箝位在一个预定的数值上,从而确保后面的电路元件免受瞬态高能量的冲击而损坏。与普通的二极管相比,结面积大,加入了特殊材料制成的散热片。
TVS产品型号丰富,功率从200W的SMF系列到6600W的SM8系列,贴片和插件的封装都有,关断电压从5V到440V,可以满足各种需求。


电路保护器件介绍
制作简要工艺流程










PMC
高温固化
Die Attach芯片粘接
Wire Bond引线焊接
Plating电镀
Molding塑封
Test
测试
Trim & Form切筋成型
电路保护器件介绍
解剖显影图 (一)
偷工减料

正常产品

电路保护器件介绍
解剖显影图 (二 )


电路保护器件介绍
TVS
特点:可分为单双向,响应时间快、漏电流低、击穿电压误差小、箝位电压较易控制、并且经过多次瞬变电压后,性能不下降,可靠性高,体积小、易于安装。
缺点是能承受的浪涌电流较小,且功率大的寄生电容也大,低电容的功率较小。适用于细保护或者二级保护。
选型注意,单双向,电压,功率,电容都要考虑到。

电路保护器件介绍
ESD
随着手机、数码相机、MP3播放器和PDA等手持设备低成本小体积化,集成电路设计工程师通过在减少硅片空间大小的同时提高设备的速度和性能,以此来推动这一趋势。而代价就是IC功能尺寸的减少使得器件更易受到ESD电压的损害。这种趋势对终端产品的可靠性会产生不利的影响,并且会增加故障的可能性。
目前的ESD保护器件,适用于CAN ,LAN ,485 ,232 ,USB ,HDMI等等各类情况的应用,符合IEC 61000-4-2 ,level 4认证。
ESD保护器件分为两种,一种为TVS列阵,其特点是响应时间快、钳位电压偏差小、结电容小、反向漏电流小和无寿命限制等优点,适合于信号质量要求高、线漏电要求小等接口的ESD防护,比如高速数据信号传输线、时钟线等。一种为压敏电阻,击穿电压VBR和箝位电压VC都相对高,通流能力相对强,具有更强的浪涌脉冲吸收能力,因而较适合于电源接口的ESD或浪涌防护。




电路保护器件介绍
TSS
半导体过压保护器是根据可控硅原理采用离子注入技术生产的一种新型保护器件 , 具有精确导通、快速响应( ns级)、浪涌吸收能力较强、双向对称、可靠性高等特点。其浪涌通流能力较同尺寸的TVS管强,但开关型保护器件都有续流问题 。TSS有贴装式、直插式和轴向引线式三种封装形式。在通讯行业使用的比较多
。




电路保护器件
PPTC自恢复保险丝
PPTC采用高分子有机聚合物在高压、高温,硫化反应的条件下,搀加导电粒子材料后,经过特殊的工艺加工而成。传统保险丝过流保护,仅能保护一次,烧断了需更换,而自恢复保险丝具有过流过热保护, 自动恢复双重功能。
PPTC插件类的耐压值有6V ,16V ,30V ,60V ,72V ,250V ,600V ,电流从75mA到14A 。贴片系列的有0603 ,0805 ,1206 ,1210 ,2018 ,2920封装。



PPTC可重复多次使用,上图为其动作后电阻随时间变化示意图,电阻一般在十几秒内即可恢复到初始值1.6倍左右。
特性曲线
各类保护器件特点
电路保护器件 | 限压型 | 开关型 | ||||
TVS | ESD | MOV | GDT | SPG | TSS | |
通流量 | 低 | 最低 | 高 | 最高 | 高 | 中 |
反应速度 | 最快 | 最快 | 中 | 最慢 | 快 | 快 |
电容 | 中 | 小 | 大 | 最小 | 最小 | 小 |
击穿电压精度 | 最高 | 最高 | 中 | 最低 | 最低 | 最高 |
尺寸 | 小 | 小 | 大 | 大 | 大 | 小 |
100KA
10KA
1KA
100A
MOV GDT SP
案例分析

低压直流保护方案
案例分析

USB静电防护方案
*博客内容为网友个人发布,仅代表博主个人观点,如有侵权请联系工作人员删除。